学校首页
本站首页
学院概况
专业设置
广播电视编导
网络与新媒体
播音与主持艺术
法语专业
泰语专业
日语专业
西班牙语专业
英语专业
翻译专业
师资队伍
学院领导
专职教师
专职辅导员
党团建设
党组织建设
团组织建设
项目式教学
招标公告
产教融合
校企合作
学院动态
通知公告
通知公告
首页
>
通知公告
>
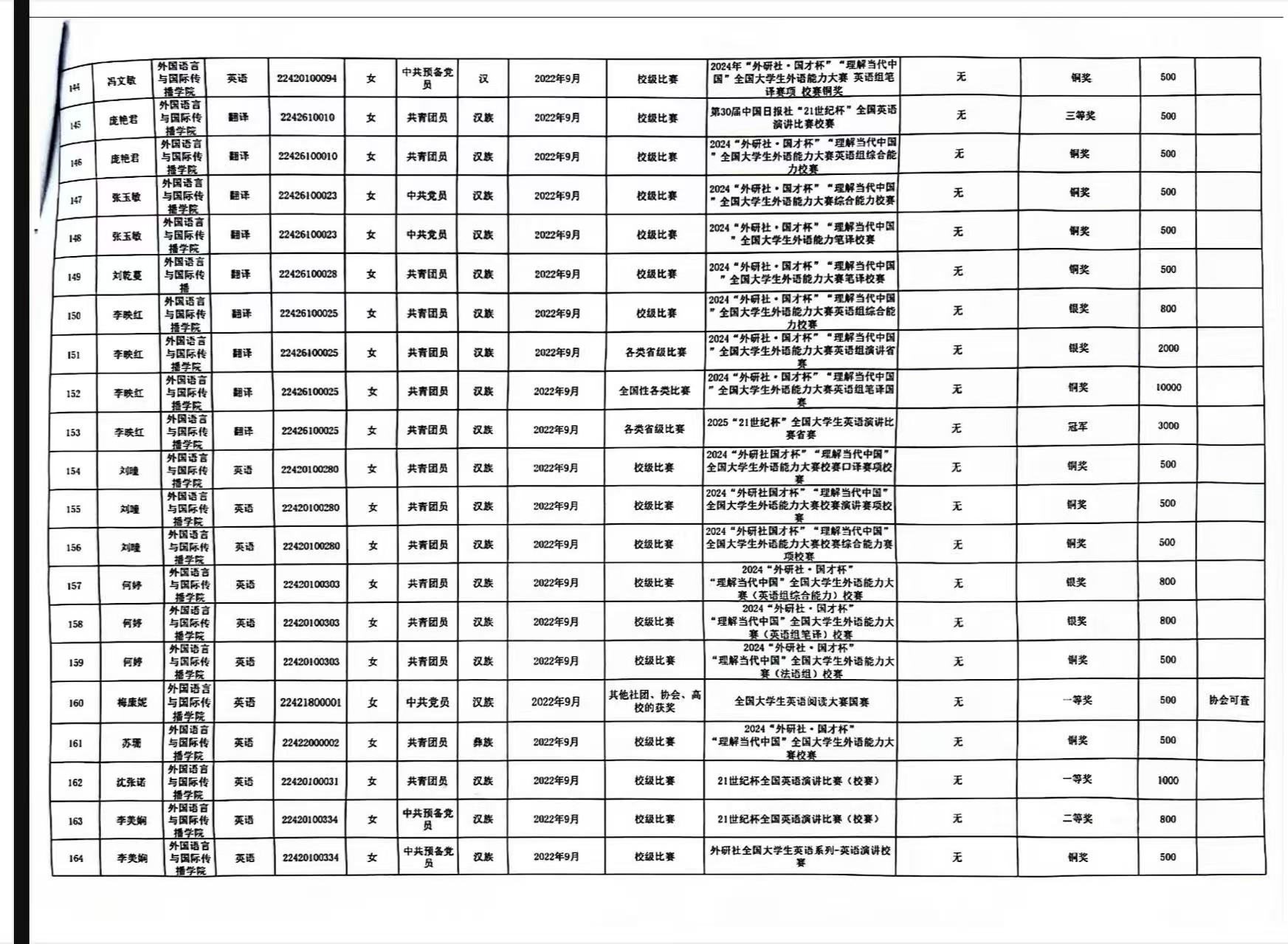
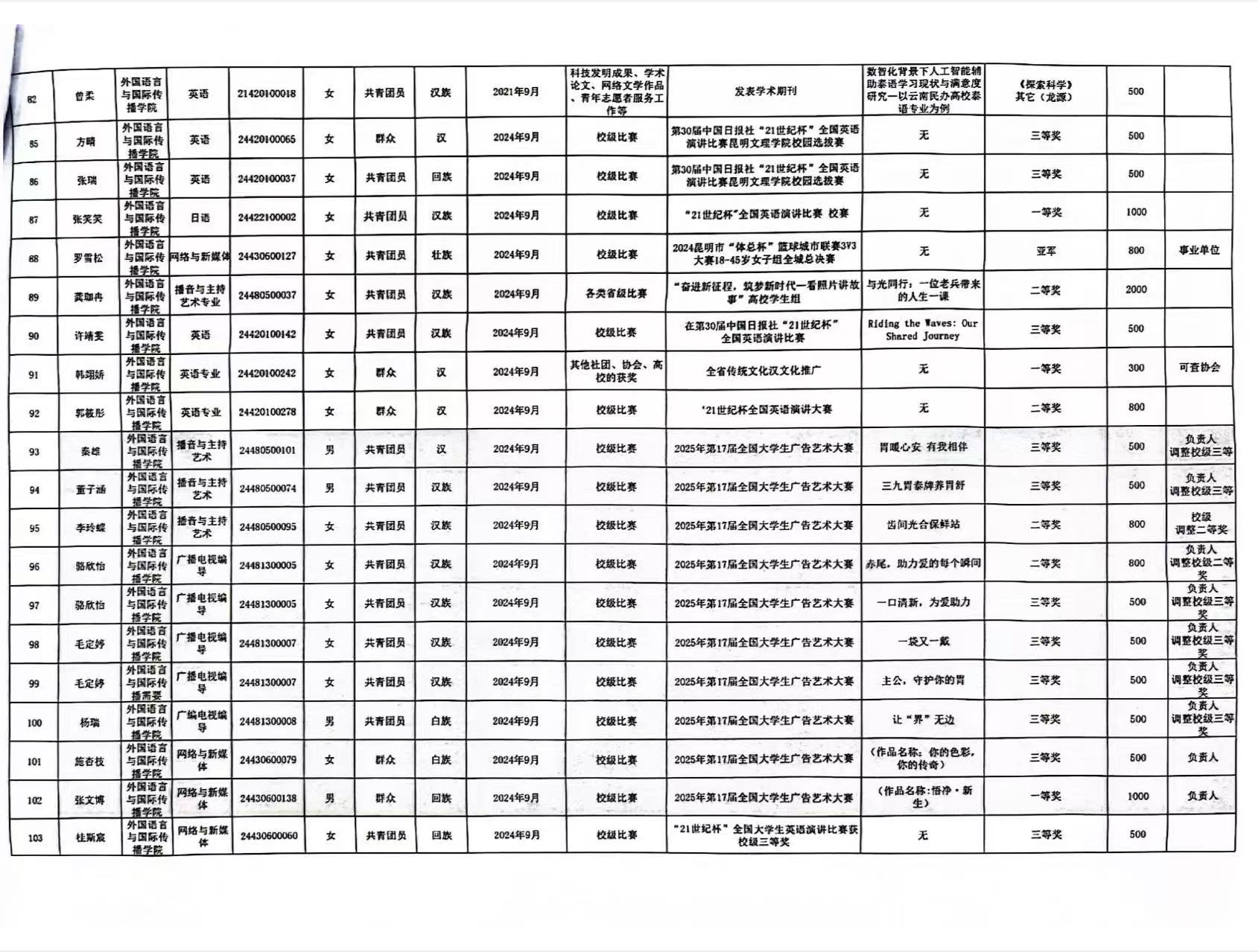
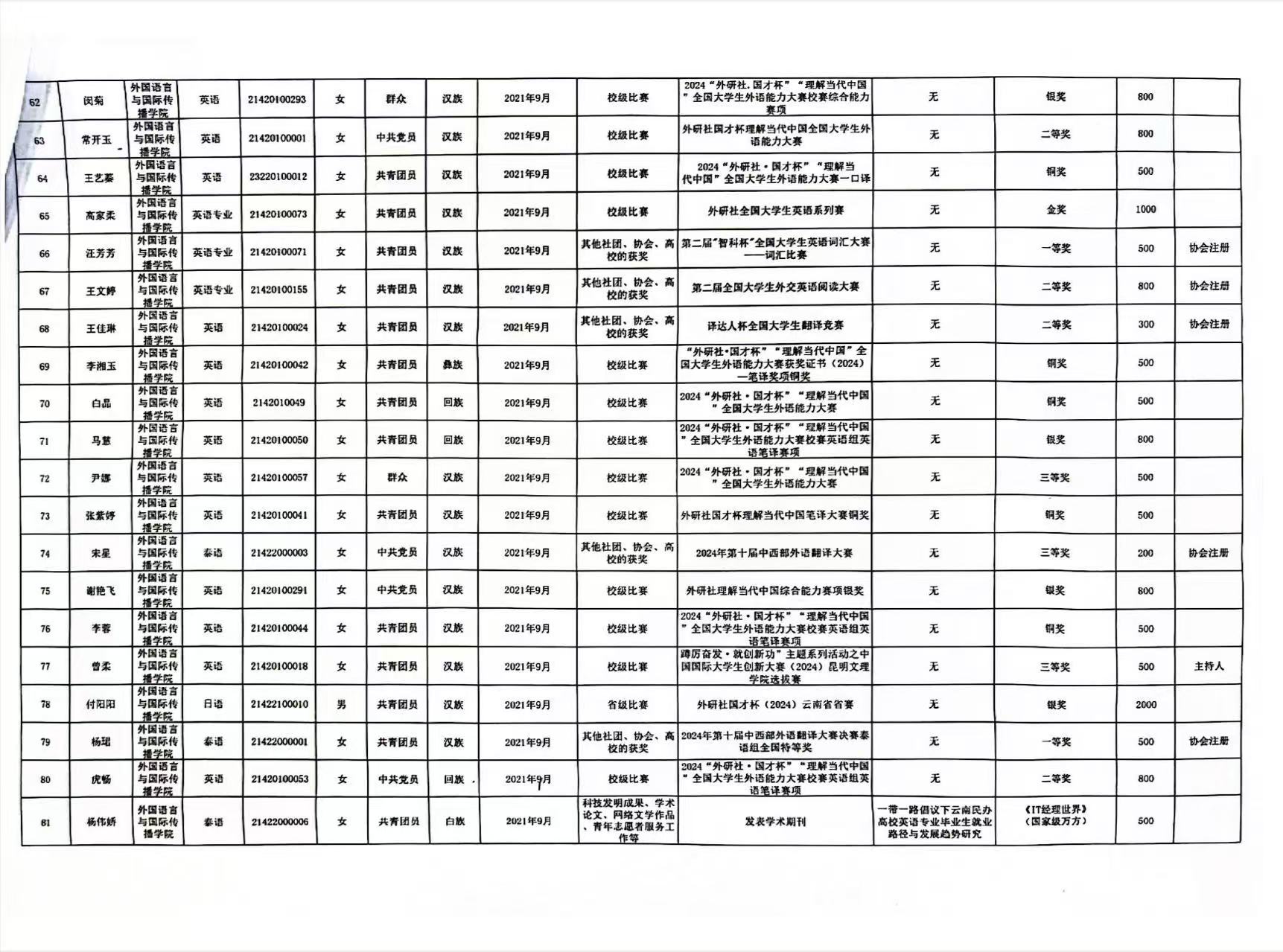
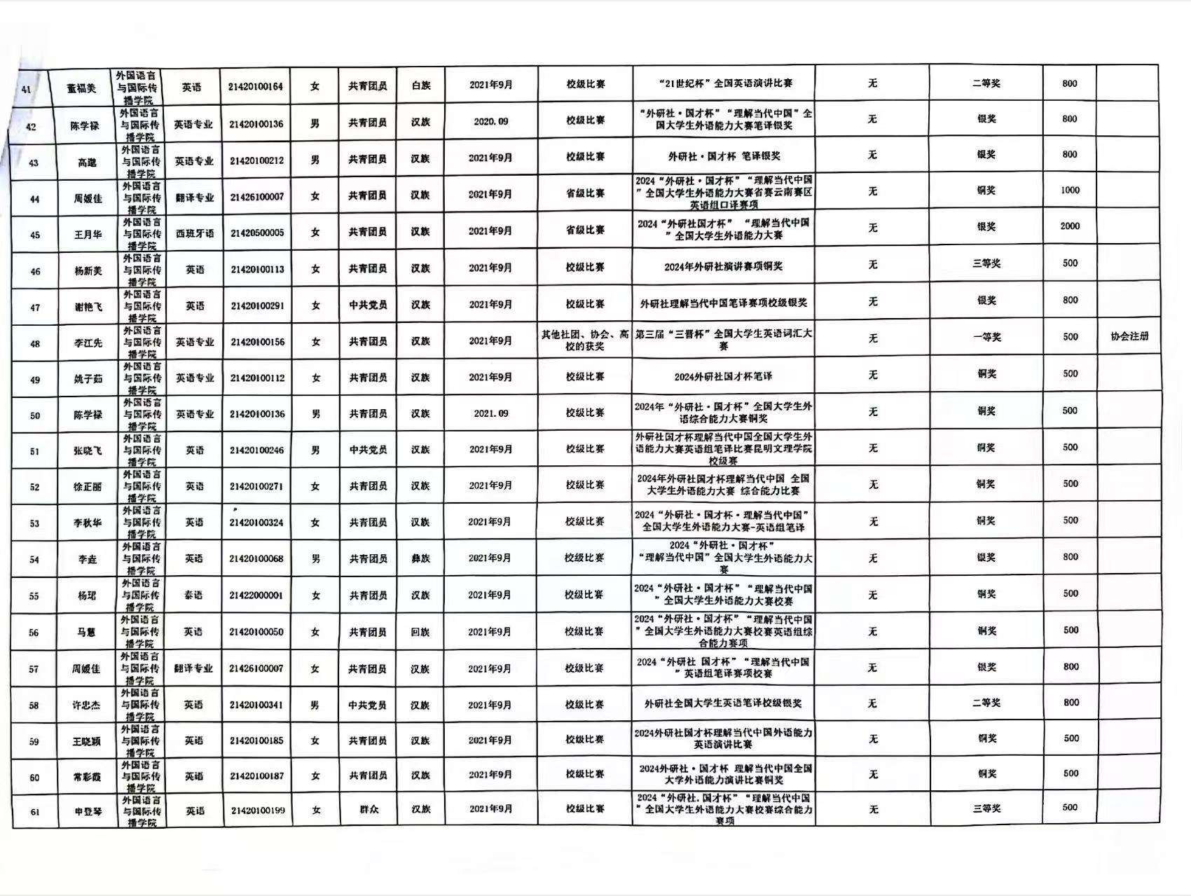
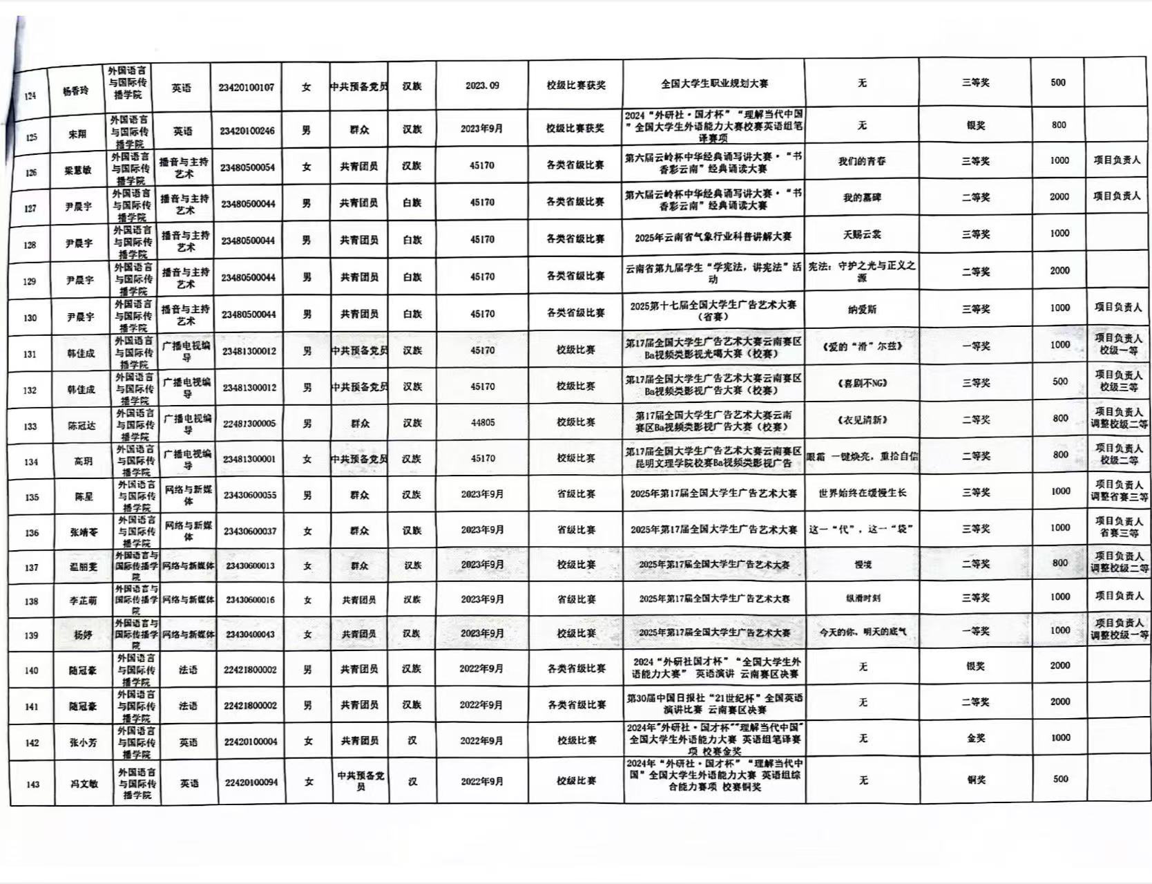
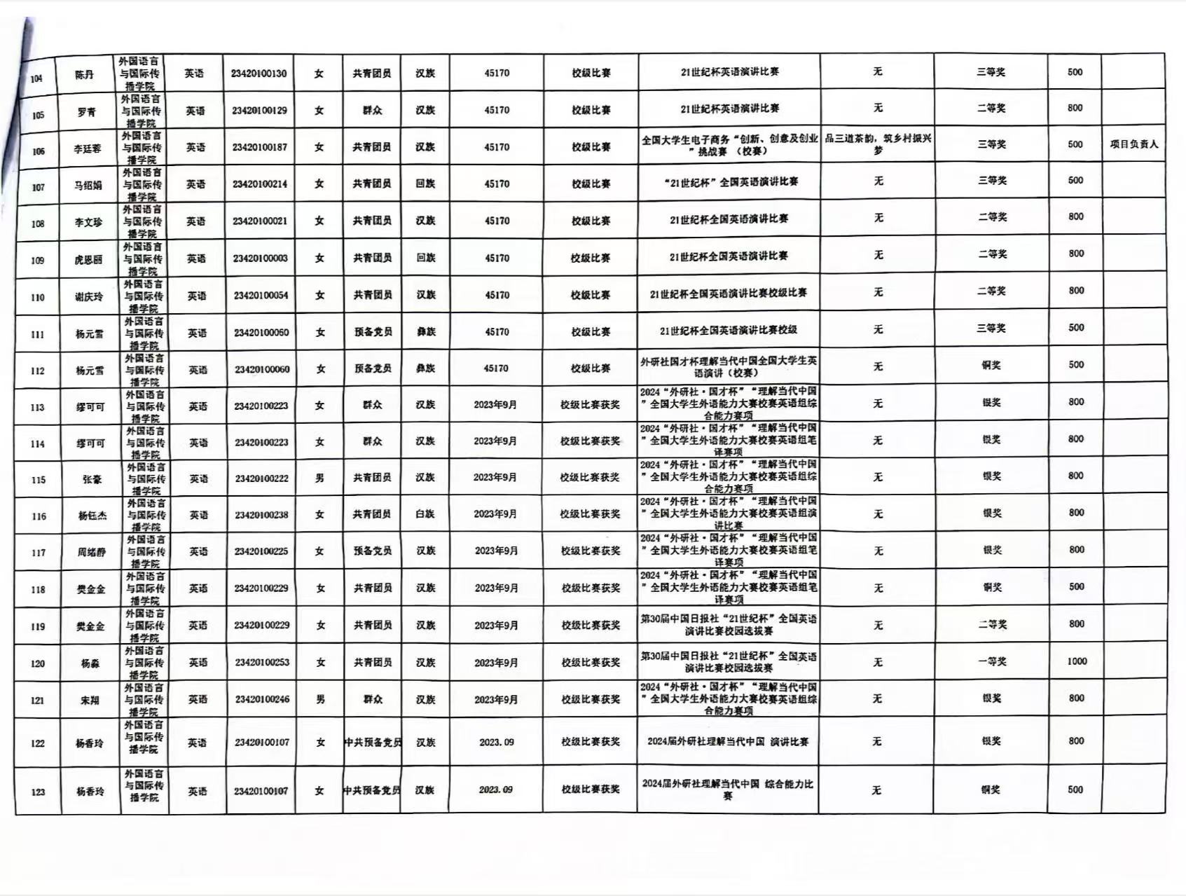
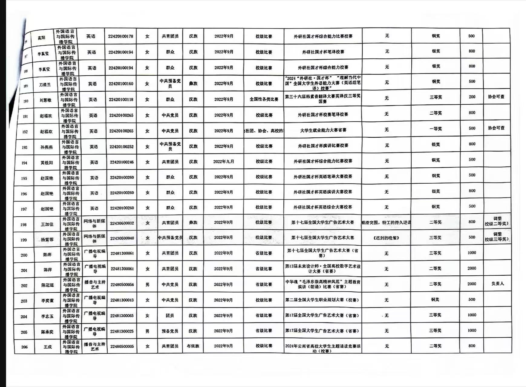
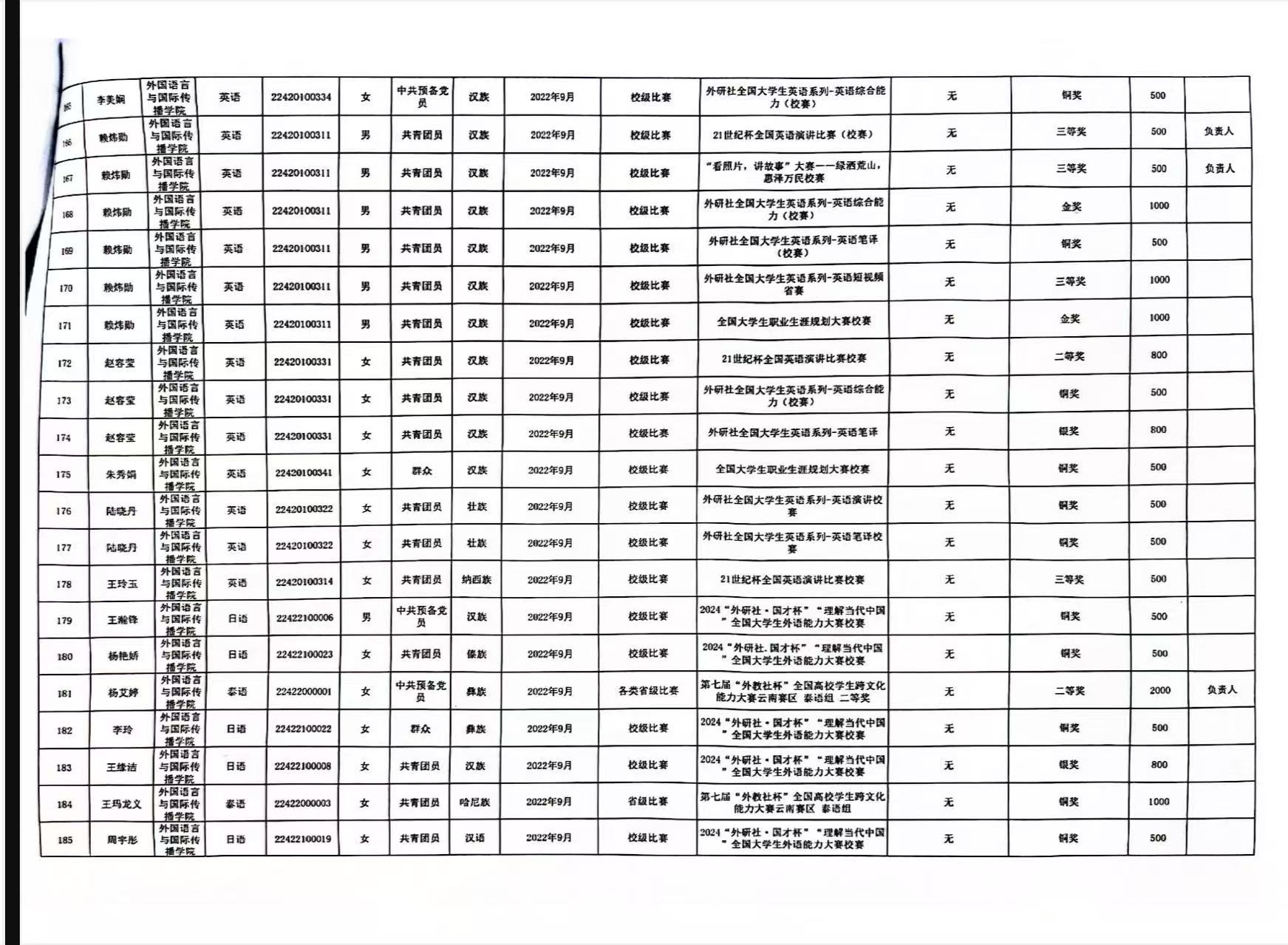
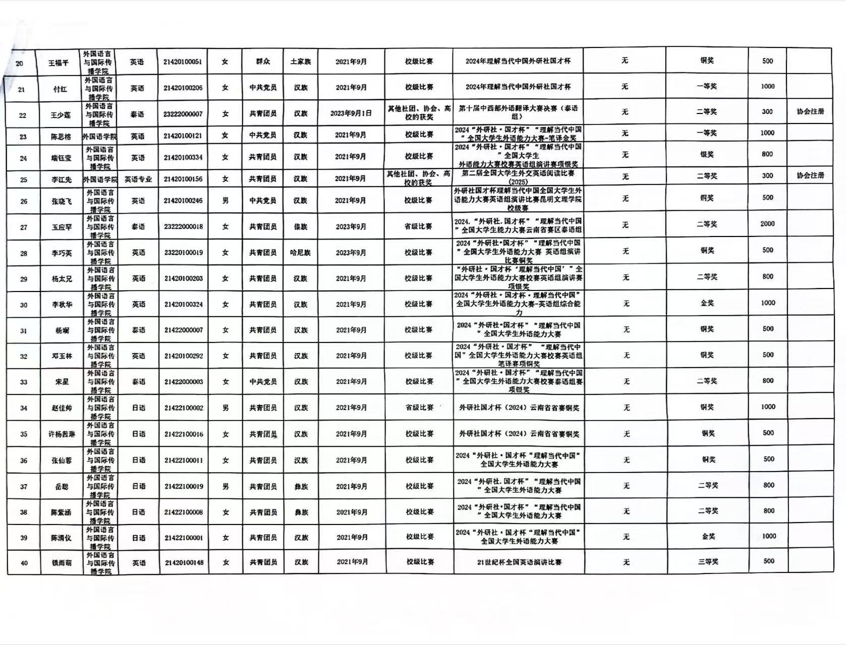
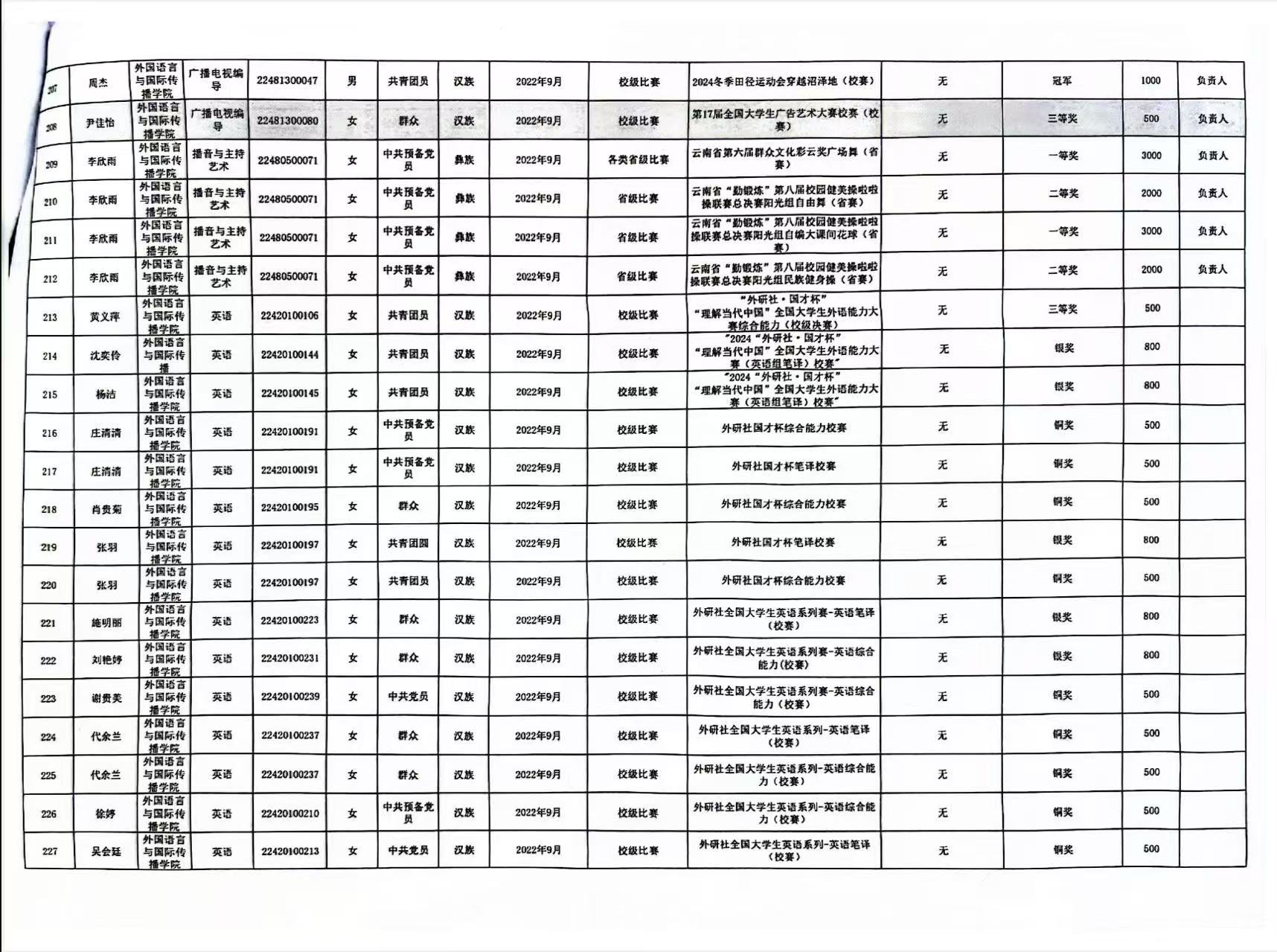
关于 2024-2025 学年外国语言与国际传播学院“文理优才奖学金”“文理外语学习奖学金”“文理卓越奖学金”“自强之星”评审结果公示
发布时间:2025-11-13
作者:外国语言与国际传播学院
←
上一篇:2025年外国语言与国际传播学院筑梦奖学金公示
下一篇:关于 2025-2026年外国语言与国际传播学院 "省级五...
→